Autosaving every 20 seconds
통계량의 분포
모집단과 표본
- 자료분석의 목적은 모집단에 대한 특성 파악을 위한 것임.
- 관심있는 모집단의 크기가 너무 커서 자료를 조사할 수 없음.
- 따라서 모집단의 일부분인 표본을 추출하고 추출된 표본에서 얻은 정보, 즉 표본 통계량을 이용하여 모집단의 특성을 추론
예시 - 선거 여론조사
- 목적
- 모든 선거구 주민(\(P\),population)의 후보 A에 대한 모집단의 지지율 파악
- 모집단의 특성 (관심있음)
- 후보 A에 대한 지지율
\[\text{모집단의 지지율} = \frac{\text{모집단에서 후보 A를 지지하는 사람의 수}}{모집단에 속한 사람의 수}\]
- 근데 이걸 조사할 수 있음? NONO, 너무 커서 절대 불가능 함
- 따라서 표본을 추출하고 표본 지지율로 모집단의 지지율에 대한 정보를 얻음.
\[\text{표본 지지율} = \frac{표본에서 후보 A를 지지하는 사람의 수}{표본에 속한 사람의 수}\]
용어정리
| 용어 | 기호 | 정의 | 예 |
|---|---|---|---|
| 모집단(population) | P | 관심이 있는 전체집단 | 모든 선거구 주민 |
| 모집단의 수 | N | 전체집단에 속한 개체 수 | 모든 선거구 주민의 수 |
| 모수(parameter) | \(\theta\) | 모집단의 특성값 | 모집단의 지지율 |
| 표본(sample) | S | 모집단의 부분 집합 | 표본으로 추출된 주민 |
| 표본의 수 | n | 표본에 속한 개체의 수 | 표본으로 추출된 선거구 주민의 수 |
| 표본 통계량(sample statistics) | \(\hat{\theta}\) | 표본의 특성값 | 표본 지지율 |
- 모수(parameter)는 모집단의 특성을 나타내는 값으로 분석의 목적에 따라 다양하다.
- e.g.
- 전북대학교 남학생의 키를 분석하는 것이 목적 \(\to\) 모수는 평균
- A후보의 지지율을 분석하는 것이 목적 \(\to\) 모수는 비율
- e.g.
- 표본 통계량(sample statistics)은 표본의 특성을 나타내는 값이다.
- 추정량(estimator) 또는 검정 통계량이라고 부르기도 한다.
모집단?표본?
모집단
- 모집단이 아래와 같다고 하자.
\[P = \text{{철수,영이,둘리,흥민,연경}},N=5\]
- 관심있는 모수 \(\theta\) : 후보 A에 대한 지지율
\[\theta = \frac{\text{모집단에서 후보 A를 지지하는 사람의 수}}{\text{모집단에 속한 사람의 수}}\]
- 모집단에 속한 5명이 선거 후보 A에 대한 지지 여부…
- 철수 = 지지 = (\(x=1\))
- 영이 = 지지 = (\(x=1\))
- 둘리 = 지지 = (\(x=0\))
- 흥민 = 지지 = (\(x=0\))
- 철수 = 지지 = (\(x=1\))
- 이와 같은 경우 모집단 지지율 \(\theta\)는 다음과 같다.
\[\theta = \frac{3}{5} = 0.6\]
표본
- 5명의 모집단에서 단순임의추출로 3명의 표본을 비복원추출하는 경우를 생각해 보자.
- 지지하면 \(x_i = 1\) 지지하지 않으면 \(x_i = 0\)이라고 하자.
- 표본지지율은?
\[\hat\theta = \frac{표본에서 후보 A를 지지하는 사람의 수}{표본에 속한 사람의 수} = \frac{\sum_{i=1}^{3}x_i}{n} = \bar x\]
- 크기가 5인 모집단에서 크기가 3인 표본을 추출 할 때, 모든 가능한 표본은 몇 개일까? \(\to\) 조합으로 계산
\[{{N}\choose{n}} ={{5}\choose{3}} = \frac{(5)(4)(3)}{(3)(2)(1)} = 10\]
- 5명의 사람들로 구성된 모집단에서 나타날 수 있는 모든 경우의 표본을 계산해보자.
from itertools import combinations
P = ['철수', '영이', '둘리', '흥민', '연경']
N = len(P)
n = 3
all_possible_samples = []
all_possible_samples_text = []
for sample in combinations(P, n):
all_possible_samples.append(sample)
txt = ""
for i,name in enumerate(sample):
if i == len(sample) -1:
txt += name
else:
txt+= name + ","
all_possible_samples_text.append(txt)
all_possible_samples_text['철수,영이,둘리',
'철수,영이,흥민',
'철수,영이,연경',
'철수,둘리,흥민',
'철수,둘리,연경',
'철수,흥민,연경',
'영이,둘리,흥민',
'영이,둘리,연경',
'영이,흥민,연경',
'둘리,흥민,연경']
통계량의 정확한 분포
우리가 궁극적으로 알고자 하는 것은 모집단의 특성값인 모수이다.
통계학에서는 표본으로부터 계산하는 표본통계량으로 부터 모수를 추정한다.
- 그러므로 표본통계량 자체의 성질,특징에 대해 이해하는 것 자체가 중요하다.
- 좀 더 상세히 하자면 표본통계량은 표본이 임의적(random)으로 추출되기에 임의성(randomness)를 가지는 확률변수이므로
- 표본통계량(확률변수)의 확률분포를 파악하여 확률적 성질,특징을 파악하는 것이 중요하다.
- 뿐만아니라 추후에 나올 방법들은 확률적 성질,특징을 통해 모수를 추정한 방법이 얼마나 합리적인지 판단에 도움을 준다.
- 그러므로 표본통계량 자체의 성질,특징에 대해 이해하는 것 자체가 중요하다.
그렇기에 우리는 표본통계량의 분포를 알아야 한다.
목적 : 표본통계량은 모수를 적절히 추정하는데 핵심이다. 이것이 갖는 성질,특징을 잘 파악하여 합리적인 추정을 하기위해 표본통계량의 분포를 구해보자.
따라서 표본으로부터 계산한 표본통계량도 random하며 확률변수이다.
그렇다면 표본 통계량의 분포는 어떻게 되는가?
- 가능한 모든 표본통계량의 값과
- 각각의 값에 대응하는 확률을 알아야 한다.
(가능한 모든 표본 통계량의 값 구하기)
from fractions import Fraction
support = {'철수':1, '영이':1, '둘리':0, '흥민':0, '연경':1}
sample_rate = []
for i,sample in enumerate(all_possible_samples):
total = 0
for obj in sample:
total += support[obj]
sample_rate.append(Fraction(total,3))
sample_rate[Fraction(2, 3),
Fraction(2, 3),
Fraction(1, 1),
Fraction(1, 3),
Fraction(2, 3),
Fraction(2, 3),
Fraction(1, 3),
Fraction(2, 3),
Fraction(2, 3),
Fraction(1, 3)]
from itertools import combinations
P = ['철수', '영이', '둘리', '흥민', '연경']
N = len(P)
n = 3
all_possible_samples = []
for sample in combinations(P, n):
all_possible_samples.append(sample)
all_possible_samples
P = np.array([1,1,0,0,1])
n=3
all_possible_samples = []
for sample in combinations(P, n):
all_possible_samples.append(sample)
all_possible_samples
sample_rate = []
for sample in all_possible_samples:
sample_rate.append(Fraction(int(sum(sample)),n))
sample_rate
sample_rate_dist = pd.DataFrame({'sample_rate':sample_rate, 'probability': np.repeat(1/all_possible_num, all_possible_num)})
sample_rate_dist
sample_rate_dist.groupby(by=sample_rate).sum().reset_index().rename(columns = {'index':'sample_rate'})| sample_rate | probability | |
|---|---|---|
| 0 | 1/3 | 0.3 |
| 1 | 2/3 | 0.6 |
| 2 | 1 | 0.1 |
(각각의 표본통계량에 대응하는 확률 구하기) - 아래의 데이터 프레임은 가능한 모든 표본으로부터 계산한 통계량과 각각의 표본이 뽑힐 수 있는 확률을 나타낸다.
sample_rate_dist = pd.DataFrame({"sample(outcome)" : all_possible_samples_text, "sample_rate" : sample_rate,"prob" : [0.1 for i in range(len(sample_rate))]})
sample_rate_dist| sample(outcome) | sample_rate | prob | |
|---|---|---|---|
| 0 | 철수,영이,둘리 | 2/3 | 0.1 |
| 1 | 철수,영이,흥민 | 2/3 | 0.1 |
| 2 | 철수,영이,연경 | 1 | 0.1 |
| 3 | 철수,둘리,흥민 | 1/3 | 0.1 |
| 4 | 철수,둘리,연경 | 2/3 | 0.1 |
| 5 | 철수,흥민,연경 | 2/3 | 0.1 |
| 6 | 영이,둘리,흥민 | 1/3 | 0.1 |
| 7 | 영이,둘리,연경 | 2/3 | 0.1 |
| 8 | 영이,흥민,연경 | 2/3 | 0.1 |
| 9 | 둘리,흥민,연경 | 1/3 | 0.1 |
- 크기가 5인 모집단에서 크기가 3인표본을 추출할 때, 특정한 하나의 표본이 추출될 확률(단,단순임의추출을 했다고 가정)?
- 가능한 표본이 \({10}\choose{3}\) = 10이고
- 단순임의추출 : 각표본을 추출할 확률은 모두 동일하므로 \(0.1\)
\[ \begin{aligned} &P(철수,영이,둘리) = P(철수,영이,연경) = \dots = P(둘리,흥민,연경) = 1 \\ &\Leftrightarrow10P = 1 \\ &\Leftrightarrow P = 0.1 \end{aligned} \]
- 확률과정론으로부터 얻은 지식…
- \(P(\hat{\theta} = \frac{2}{3}) = P(\{\omega : \hat{\theta}^{-1}(\omega) = \frac{2}{3} \})= 0.6\)
- i.e. 표본통계량 = \(\frac{2}{3}\)이 가능한 outcome(sample)은 총6가지 경우이며 확률은 각각 1이므로 \(6 \times 0.1 = 0.6\)
- \(P(\hat{\theta} = 1) = P(\{\omega : \hat\theta^{-1}(\omega) =1\}) = 0.1\)
- i.e.(표본통계량 = \(1\)이 가능한 outcome은 1가지 경우여서 확률은 0.1
- \(P(\hat{\theta} = \frac{1}{3}) = P(\{\omega : \hat{\theta}^{-1}(\omega) = \frac{1}{3} \})= 0.3\)
- i.e. 표본통계량 = \(\frac{1}{3}\)이 가능한 outcome(sample)은 총3가지 경우이며 확률은 각각 1이므로 \(3 \times 0.1 = 0.3\)
- \(P(\hat{\theta} = \frac{2}{3}) = P(\{\omega : \hat{\theta}^{-1}(\omega) = \frac{2}{3} \})= 0.6\)
- 따라서 정확한 \(\hat\theta\)의 분포는
| \(\hat\theta\) | \(\frac{1}{3}\) | \(\frac{2}{3}\) | 1 |
|---|---|---|---|
| \(P\) | 0.3 | 0.6 | 0.1 |
통계량의 경험적 분포
사실 통계량의 정확한 분포를 구하는 것은 불가능하다.
- 실제 문제에서는 모집단을 정확히 모르며 하나의 표본이 주어지기 떄문이다.(대부분) \(\to\) 따라서 단순임의추출을 통해 가능한 sample(outcome)을 모두 아는 것이 불가능
- 정확히 안다고 가정해도 모집단의 크기가 너무 크면 불가능하다. \(\to\) 가능한 모든 sample(outcome)의 조합이 너무 많기에 연산복잡도가 너무 크다.
일단 이 포스팅에서는 모집단은 정확히 알고 크기가 너무 큰 경우에 통계량의 분포를 구해보는 과정을 다룬다.
모집단의 크기가 너무 크다.
\(\to\) 가능한 모든 표본의 수가 \({N}\choose{n}\) 개이다.
\(\to\) 가능한 모든 표본으로부터 통계량을 구하는 것은 컴퓨터로도 처리하기 어렵다정확한 표본통계량의 분포를 구하기 힘드니까 근사적으로라도 구할 수 없을까?
목적
- 표본통계량의 정확한 분포는 구할 수 없으므로 표본통계량의 분포를 (근사적으로) 구한다.
- 근사적으로 구한 분포로부터 표본통계량의 확률적 성질,특징을 알아볼 수 있다.
How? : 경험적 분포를 구한다.
(경험적 분포를 구하는 과정)
- 문제 : 모집단의 크기 N = 10000이고 표본의 크기 n=100으로 할 때, 표본통계량(지지율)의 분포는 어떻게 되는가? 1. 모집단으로 부터 크기가 100인 표본을 임의추출 한다.(기억,랜덤샘플링,임의추출) 2. 표본으로부터 표본통계량 \(\hat\theta\)을 계산하고 기록한다. 3. 1,2,를 여러번 반복한다. - 일반적으로 500이상 - 예를 들어 500번 반복하면 \(\hat\theta_1,\hat\theta_2,\hat\theta_3...\hat\theta_{500}\)을 얻었을 것이다. 4. 위에서 얻은 여러 개의 표본통계량으로 부터 경험적 분포를 구한다.
- 위와 같은 과정을 모의실험이라고 하며 모의실험을 통하여 얻은 분포를
경험적 분포라 한다. - 표본통계량의 경험적 분포는 정확한 분포와 매우 유사하다.
- 따라서 표본통계량의 정확한 분포를 구할 수 없는 경우 표본통계량의 경험적 분포를 통하여 확률적 성질,특징을 알아볼 수 있다.
구현
- 지지율이 60%인 모집단이 있다고 할 때
- 모의실험을 통해 크기가 100인 표본지지율의 경험적 분포를 구해보자.
- 모집단 \(P\)는 np.array이다.
- 따라서 단순임의추출하려면 np.random.choice사용
B=1000
n=100
simulation_sample_rate = pd.DataFrame({"sample_rate":np.zeros(B)})
for i in np.arange(B):
sample = np.random.choice(P,n,replace=False)
simulation_sample_rate.loc[i,"sample_rate"] = np.mean(sample)
simulation_sample_rate| sample_rate | |
|---|---|
| 0 | 0.64 |
| 1 | 0.60 |
| 2 | 0.60 |
| 3 | 0.60 |
| 4 | 0.58 |
| ... | ... |
| 995 | 0.62 |
| 996 | 0.64 |
| 997 | 0.68 |
| 998 | 0.60 |
| 999 | 0.55 |
1000 rows × 1 columns
확인
예제 : 공공자전거 자료에서 표본평균의 분포
| 자전거번호 | 대여일시 | 대여 대여소번호 | 대여 대여소명 | 대여거치대 | 반납일시 | 반납대여소번호 | 반납대여소명 | 반납거치대 | 이용시간 | 이용거리 | |
|---|---|---|---|---|---|---|---|---|---|---|---|
| 0 | SPB-17003 | 2019-09-28 16:10:55 | 368 | SK 서린빌딩 앞 | 4 | 2019-09-28 17:03:32 | 2002 | 노들역 1번출구 | 14 | 52 | 8940.0 |
| 1 | SPB-14405 | 2019-09-28 16:48:16 | 2024 | 상도역 1번출구 | 3 | 2019-09-28 17:03:44 | 2002 | 노들역 1번출구 | 18 | 15 | 1910.0 |
| 2 | SPB-18431 | 2019-09-28 16:59:54 | 2002 | 노들역 1번출구 | 10 | 2019-09-28 17:03:57 | 2002 | 노들역 1번출구 | 10 | 2 | 30.0 |
| 3 | SPB-04853 | 2019-09-28 15:31:49 | 207 | 여의나루역 1번출구 앞 | 32 | 2019-09-28 17:10:12 | 2002 | 노들역 1번출구 | 19 | 98 | 9610.0 |
| 4 | SPB-11122 | 2019-09-28 15:35:41 | 207 | 여의나루역 1번출구 앞 | 14 | 2019-09-28 17:10:37 | 2002 | 노들역 1번출구 | 18 | 90 | 9450.0 |
| 5 | SPB-23089 | 2019-09-28 17:02:37 | 2003 | 사육신공원앞 | 5 | 2019-09-28 17:13:44 | 2002 | 노들역 1번출구 | 10 | 10 | 1410.0 |
| 6 | SPB-15669 | 2019-09-28 16:17:54 | 2213 | 고속터미널역 5번출구 앞 | 7 | 2019-09-28 17:14:22 | 2002 | 노들역 1번출구 | 8 | 56 | 0.0 |
| 7 | SPB-09727 | 2019-09-28 17:04:56 | 2002 | 노들역 1번출구 | 5 | 2019-09-28 17:17:10 | 2002 | 노들역 1번출구 | 17 | 11 | 380.0 |
| 8 | SPB-10053 | 2019-09-28 16:59:45 | 2002 | 노들역 1번출구 | 3 | 2019-09-28 17:17:53 | 2002 | 노들역 1번출구 | 5 | 17 | 1080.0 |
| 9 | SPB-14487 | 2019-09-28 16:01:41 | 2024 | 상도역 1번출구 | 5 | 2019-09-28 17:20:44 | 2002 | 노들역 1번출구 | 14 | 78 | 13870.0 |
<class 'pandas.core.frame.DataFrame'>
RangeIndex: 407589 entries, 0 to 407588
Data columns (total 11 columns):
# Column Non-Null Count Dtype
--- ------ -------------- -----
0 자전거번호 407589 non-null object
1 대여일시 407589 non-null object
2 대여 대여소번호 407589 non-null int64
3 대여 대여소명 407589 non-null object
4 대여거치대 407589 non-null int64
5 반납일시 407589 non-null object
6 반납대여소번호 407589 non-null int64
7 반납대여소명 407589 non-null object
8 반납거치대 407589 non-null int64
9 이용시간 407589 non-null int64
10 이용거리 407589 non-null float64
dtypes: float64(1), int64(5), object(5)
memory usage: 34.2+ MB
| 대여 대여소번호 | 대여거치대 | 반납대여소번호 | 반납거치대 | 이용시간 | 이용거리 | |
|---|---|---|---|---|---|---|
| count | 407589.000000 | 407589.000000 | 407589.000000 | 407589.000000 | 407589.000000 | 407589.000000 |
| mean | 1880.239587 | 7.180022 | 2513.636349 | 6.902335 | 30.156827 | 4253.336228 |
| std | 878.719112 | 5.262180 | 714.170698 | 4.898559 | 32.065934 | 5782.673901 |
| min | 101.000000 | 1.000000 | 2002.000000 | 1.000000 | 1.000000 | 0.000000 |
| 25% | 1233.000000 | 3.000000 | 2177.000000 | 3.000000 | 8.000000 | 1200.000000 |
| 50% | 2171.000000 | 6.000000 | 2303.000000 | 6.000000 | 18.000000 | 2380.000000 |
| 75% | 2313.000000 | 10.000000 | 2619.000000 | 10.000000 | 43.000000 | 5130.000000 |
| max | 99999.000000 | 40.000000 | 99999.000000 | 39.000000 | 2479.000000 | 153490.000000 |
2019년 9월 동안 서울특별시 공공자전거 대여 이력 자료
2019년 9월 동안 서울특별시 공공자전거 대여 이력을 모두 모아놨으므로
모집단이다.관심있는 모수 : 이용거리의 평균
공공자전거 모집단에서 표본을 simple random sampling without replacement으로 여러번 추출하는 경우에 표본통계량의 경험적 분포를 구해보자.
각각의 모든 표본의 크기가 최대 n=2000 개라면 표본의 크기에 비해 모집단의 크기가 상대적으로 매우 큼을 알 수 있다.
이때 다음과 같은 주목할 만한 사실이 있다.
- 이 경우 비복원추출과 복원추출의 차이가 거의 없다.
- 복원추출과 비복원추출의 차이점은 한 번 뽑힌 개체가 또다시 뽑힐 수 있느냐는 것이다.
- 그러나 이 경우는 비복원추출을 해도 모집단이 너무 크기에 사실상 한 번 뽑힌 개체가 다시 뽑힐가능성이 매우작다.(0은 아니다.)
- 따라서 다시 뽑힐 가능성을 0으로 두고 하는 복원추출과 이 경우의 비복원추출은 사실상 같다.
- 이 경우 비복원추출과 복원추출의 차이가 거의 없다.
- B = 1000, n = 50인 경우 표본비율의 경험적 분포.
B=1000
n=50
sample_means_50 = pd.DataFrame({"sample_means":np.zeros(B)})
for i in np.arange(B):
sample_means_50.loc[i,"sample_means"] = bike.sample(n=n,replace=False)["이용거리"].mean()
#이 부분 sample하고 column index위치 바꾸면 안됨
sample_means_50| sample_means | |
|---|---|
| 0 | 6331.6 |
| 1 | 3449.2 |
| 2 | 3372.0 |
| 3 | 4369.2 |
| 4 | 3487.6 |
| ... | ... |
| 995 | 4048.8 |
| 996 | 5155.4 |
| 997 | 4827.6 |
| 998 | 4630.6 |
| 999 | 3173.8 |
1000 rows × 1 columns
- B=1000,n=1000 표본비율의 경험적 분포
B=1000
n=1000
sample_means_1000 = pd.DataFrame({"sample_means" : np.zeros(B)})
for i in np.arange(B):
sample_means_1000.loc[i,"sample_means"] = bike.sample(n=n,replace=False)["이용거리"].mean()
sample_means_1000| sample_means | |
|---|---|
| 0 | 4415.75 |
| 1 | 4384.23 |
| 2 | 4409.41 |
| 3 | 3903.12 |
| 4 | 4010.64 |
| ... | ... |
| 995 | 4464.98 |
| 996 | 4361.14 |
| 997 | 4693.28 |
| 998 | 4451.37 |
| 999 | 4372.24 |
1000 rows × 1 columns
\(n= 50\) vs \(n = 1000\)
f,ax = plt.subplots(1,2,figsize=(20,10))
plt.subplot(1,2,1)
plt.boxplot(sample_means_50)
plt.hlines(y=4253.336228, xmin=0.5, xmax=1.5, colors='r')
plt.ylim(2000,9000)
plt.subplot(1,2,2)
plt.boxplot(sample_means_1000)
plt.hlines(y=4253.336228, xmin=0.5, xmax=1.5, colors='r')
plt.ylim(2000,9000)(2000.0, 9000.0)

- 표본의 크기가 1000인 경우 표본평균의 경험적 분포는 50인 경우보다 좌우 대칭인 종모양(정규분포)에 더 가까워 보인다.
- 표본의 크기가 1000인 경우 표본평균의 경험적 분포는 50인 경우보다 분산이 작음.
뭔가 규칙이 있는 거 같다. 표본의 크기 n이 커질수록 표본평균의 분포가 정규분포에 가깝고 분산이 적은거 같은데?
프로그래밍으로 확인해보자~
B = 1000
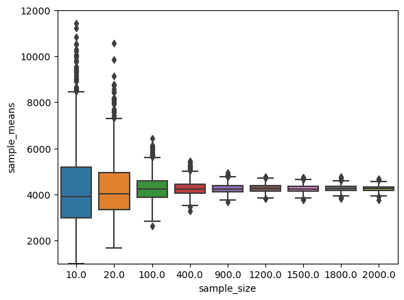
sample_sizes = [10,20,100,400,900,1200,1500,1800,2000]
total_num = B * len(sample_sizes)
emprical_dists=pd.DataFrame({"sample_size" : np.zeros(total_num),"sample_means" : np.zeros(total_num)})
count = 0
for n in sample_sizes:
for i in np.arange(B):
emprical_dists.loc[count,"sample_means"] = bike.sample(n=n,replace=False)["이용거리"].mean() #means아니라 mean
emprical_dists.loc[count,"sample_size"] = n #means아니라 mean
count+=1
emprical_dists.head(10)| sample_size | sample_means | |
|---|---|---|
| 0 | 10.0 | 3517.0 |
| 1 | 10.0 | 3405.0 |
| 2 | 10.0 | 4661.0 |
| 3 | 10.0 | 3394.0 |
| 4 | 10.0 | 3390.0 |
| 5 | 10.0 | 3850.0 |
| 6 | 10.0 | 4766.0 |
| 7 | 10.0 | 3616.0 |
| 8 | 10.0 | 3018.0 |
| 9 | 10.0 | 2743.0 |
(1000.0, 12000.0)

plt.hist(emprical_dists.loc[emprical_dists.sample_size==900,"sample_means"],color="blue",bins=15)
plt.hist(emprical_dists.loc[emprical_dists.sample_size==1500,"sample_means"],color="green",bins=15)
plt.hist(emprical_dists.loc[emprical_dists.sample_size==2000,"sample_means"],color="red",bins=15)
plt.show()
- box,hist plot으로부터
- 표본의 크기 n이 클수록 표본평균의 분포가 정규분포로 가까워 지는 것처럼 보이고
- 그때의 분산도 작아지는 것을 확인할 수 있다.
- 사실 이 정리는 중심극한정리이다..!
정리
- 표본통계량의 분포를 구하는 것은 중요하다.
- 모수를 구하는데에 핵심적인 정보이기에 특징,성질을 파악해야하고
- 추후에 나올 방법에 사용되기 때문이다.
- 하지만 정확하게 구하는데에는 한계가 있다.
- 실제 문제에서는 모집단을 정확히 모르며 하나의 표본이 주어지기 떄문이다.(대부분) \(\to\) 따라서 단순임의추출을 통해 가능한 sample(outcome)을 모두 아는 것이 불가능
- 정확히 안다고 가정해도 모집단의 크기가 너무 크면 불가능하다. \(\to\) 가능한 모든 sample(outcome)의 조합이 너무 많기에 연산복잡도가 너무 크다.
- 따라서 이번 포스팅에서는 모집단을 정확히 아는 경우에 한해서 정확한 분포를 근사하는 경험적분포를 통해 표본통계량의 분포를 구했다.
- 분포를 구해본 결과 그 과정에서 표본의 크기가 커질수록
- 정규분포에 가까워지고
- 분산이 작아졌다.
- 이는 사실 중심극한정리(CLT)이다.
- 여기까지 이번 포스팅의 내용..
- 하지만 실제문제상황에서 우리에게 주어지는 것은 단 하나의 표본뿐이다.
- 이러한 상황에서는 표본통계량의 분포를 어떻게 구하는가? … 다음 포스팅에서 …






